이번 포스팅은 변압기에 있어서
1. (%) 임피던스 전압강하가 무엇이며
2. 왜 발생하는지
3. 이러한 전압강하는 어떤 현상을 초래하며
4. 어떤 값을 유지하여야 하는지 알아보겠습니다.
1. 변압기 임피던스의 개념
- 변압기에 전압이 인가되어 전류가 흐를 경우 코일의 권선저항(R)과
- 권선과 철심간의 자속의 작용에서 100% 다 활용되지 못하고 일부 누설 자속이 발생 (누설 리액턴스 XL)
이 저항과 누설리액턴스를 "변압기 임피던스" 라 하며
이는 변압기 내부전압강하를 일으키는데
이 크기를 "변압기 임피던스 전압" 이라 한다.
2. 변압기 임피던스 측정방법
변압기의 임피던스 측정은 아래와 같이 단락시험으로 측정하게 된다.

변압기 단락시험
처음부터 1차측에 정격전압을 가하고 2차측을 단락하면 매우 큰 전류가 흘러 변압기에 큰 충격을 주기 때문에 단락시험을 시행하기 어려우므로,
2차측을 단락한 상태에서 1차측에 서서히 전압을 증가시키면서 1,2차측에 정격전류가 흐를때 까지 전압을 인가한다.
이럴 경우 권선은 과열되지 않고 변압기에 가해지는 충격도 작게된다.
이때, 권선의 상호자속은 매우적고, 철심의 손실도 무시할 수 있을 정도이다.
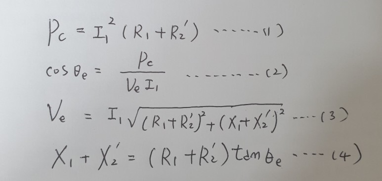
여기서 전력계(W메타) 의 지시 1,2차 저항으로 인한 동손을 지시한다.
전력계의 측정값을 Pc, 정격전류를 흘리는 전원전압을 Ve, 1차 전류 I1 를 측정하면

Pc 는 동손 즉, 임피던스 와트이고
Øe 는 임피던스 각,
Ve 는 임피던스 전압이다.
만일 Ve 에 의하여 1차 부하전류 I1n 이 된다면,
1차 정격전압 V1n 에 의한 1차 단락전류 I1s 는 다음과 같이 표시할 수 있다.
I1s = I1n (V1n / Ve)
이와 같이 단락한 권선에 정격전류가 흐를대까지 다른 권선에 전압을 인가하는데 이때의 전압이 임피던스 전압이고, 그 단락한 권선의 정격전압에 대한 비율을 % 임피던스 전압강하 또는 백분율 임피던스라 한다.
한편 단락하지 않은 권선에서의 입력은 임피던스와트 라고 하는데 이 값은 전부하시의 동손과 같다.
% 임피던스 전압강하
Zpc = Ve / V1n x 100 = I1n Zp / V1n x 100 으로 표시한다.
이를 저항성분과 리액턴스 성분으로 나누어 표현하면 다음과 같다.
% 저항 전압강하 rpc = Pc / (I1n V1n) X 100
= I1n (R1+R2') / V1n X 100 [%]
% 리액턴스 전압강하 xpc = I1n (X1+X2') / V1n X 100 [%]
그리고 1차 단락전류와 1차 정격전류와의 비는
I1s / I1n = 100 / Zpc 로 표시된다.
일반적으로 전력용변압기에서는 X ≫ R 이므로
근사적으로 Z ≒ X 라 할 수 있다.
즉 % Zpc = Xpc 로 간주하여도 무방하다.
3. % 임피던스 전압강하의 특성
% 임피던스 전압강하가
너무 크면,
전압변동율과 손실이 커지며, 송전안정도가 불리하다.
또한 너무 작으면
고장시 고장전류가 커 변압기와 다른 기기에도 전기적,기계적,열적 영향을 주므로, 변압기의 단락강도 측면에서는 큰것이 좋다.
따라서 변압기의 % 임피던스 전압강하 값은 전력계통에 적합한 것을 선정하여야 하며
전압별 전력용변압기의 % 임피던스는 아래와 같다.

'전기이론' 카테고리의 다른 글
| 4단자정수 이론정리 (0) | 2022.08.13 |
|---|---|
| 무효전력(Reactive power)의 정의 (4) | 2022.08.11 |
| 단권변압기 이론 (4) | 2022.08.03 |
| 각변위(위상차각)와 변압기결선 (2) | 2022.07.15 |
| 히스테리시스 곡선 (3) | 2022.06.30 |