실계통에서 운전되는 송전선로에서는 정수가 서로 다른 선로가 연결되거나 변압기가 접속된다든지 해서 매우 복잡한 회로를 구성하게 된다.
이와 같은 경우 4단자 정수(four terminal constants) 쓰면 선로 종류에 관계없이 회로 해석의 통일성을 기할 수 있다.
아래 그림과 같이 송전선로는 송 · 수전단에 2개의 단자를 가지고 있고, 또한 중간에 기전력을 보유하지 않기 때문에 이것을 4단자 회로로서 취급할 수 있으므로 송 · 수전단 전압, 전류의 관계를 아래 행렬 계산식에 의거 표시할 수 있다.


ES = AER +BIR, IS = CER +DIR
여기서 A,B,C,D는 회로의 구성요소에 의해 정해지는 4단자 정수이며 AD-BC=1 이라는 관계를 이용하여 이들 4단자 정수값을 검증할 수도 있다.
추가적으로는 4단자 정수외에 변압기가 직렬접속된 경우 위 식에 의거 계산해 주면 되고, 또한 병렬회로도 각각이 존재하는 것으로 분리해서 동일하게 계산해 주면 됩니다.
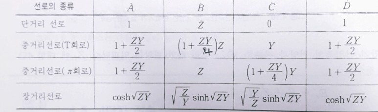
[선로의 종류에 따른 4단자 정수]

위 4단자 정수중 단거리 선로를 [AD - BC = 1] 이라는 관계식을 단거리 선로로 검증해 보면
1x1 - Zx0 = 1 이라는 결과값이 나오게 됩니다.
결과적으로 회로망내의 임피던스와 어드미턴스 값이 주어지면 모든 회로망의 해석이 가능하다는 내용입니다.
이론상 수치를 적용할 수도 있고, 아님 단락시험이나 무부하시험으로 임피던스, 어드미턴스 수치를 추출해 낼 수도 있습니다.
'전기이론' 카테고리의 다른 글
| 페란티 현상이란 (0) | 2024.10.14 |
|---|---|
| 변전소의 종류 (4) | 2024.03.24 |
| 무효전력(Reactive power)의 정의 (4) | 2022.08.11 |
| 단권변압기 이론 (4) | 2022.08.03 |
| 변압기 임피던스 전압강하란? (0) | 2022.07.15 |