
이번 포스팅은 지격증 시험에서도 빈번하게 출제되는 전력계통에서의 특성임피던스와 선로정수에 대하여 알아보겠습니다. 자주 출제되는 만큼 개념정리를 완벽히 해둘 필요가 있을 것 같습니다.
1. 특성임피던스란?
일반적으로 고압 송전선로는 전압, 전류가 선로에 따라 전파 (propagation)되는 과정에서 선로 정수(R, L, C, G)로 인하여 그 에너지의 손실이 당연하게 발생하게 됩니다.
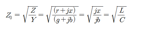
무한장 송전선로의 각 점의 impedance Z.=VZ/Y로 표시할 수 있는데 이 Z. 는 송전선로 각점에서 전압. 전류의 차로 그 선로에 특유한 것이 됩니다.
전송선이 무한이 길다고 가정하였을 때 입력단에서 보이는 임피던스입니다.
또한 전송선에 신호(전압, 전류)가 전달될 때 반사 없이 에너지가 전달되는 특성을 나타냅니다.
여기서 전압, 전류의 차란 그 단순크기를 단위의 다름으로 가감할 수 없는 것으로서 이러한 전압. 전류의 크기를 한 지점의 선로정수(주로 L, C)에 의해 측정되는 임피던스라 할 수 있습니다. (Z=V/I)
이를 특성임피던스(charateristic impedance) 또는 파동임피던스 (surge impedance)라고 하며 단위로는 (Ω)를 사용합니다.
위 식의 Z. 의 성분 중 만일 저항 및 누설 conductance를 무시하면 아래와 같이 표시할 수 있다.

이 Z,는 보통 송전선로에서 300~500(옴) 정도가 됩니다. 그러나 특성 impedanc를 더 정확히 산출할 필요가 있을 때는 수전단을 개방 또는 단락 시키는 무부하시험과 단락시험을 함으로써 각각 무부하 admittance와 직렬 impedance를 구하고 직렬 impedance Z (Ω/Km)와 병렬 admitance Y (℧/Km)를 산출해서 한 점에서의 전압, 전류를 구할 수 있게 됩니다.
위에서 언급한 특성임피던스의 값을 300~500( Ω ) 유지하는 것으로 되어 있는데 가능한 한 크게 설정하여야 하는지 아니면 작게 유지하여야 하는지 의문이 있을 수 있는데 이를 부연 설명하면 아래와 같습니다.
크기의 대소를 따지는 것은 의미가 없으며 전선종류 및 철탑규격, 경과지 등 선로특성에 따라 결정되는 것으로 적절한 임피던스를 유지하여야 합니다.
이러한 특성임피던스의 실무에서의 용도로는
◆ 서지 및 과도현상 분석
낙뢰, 차단기 개폐 시 발생하는 과도전압은 파동처럼 송전선을 따라 이동합니다. 이때 송전선의 특성임피던스는 서지파의 전압, 전류 크기를 결정하는 핵심요소로 작용합니다.
◆ 임피던스 매칭을 통한 반사방지
송전선 말단에 변압기, 차단기 등 부하가 연결될 때, 임피던스가 다르면 반사가 생겨 전압파형 왜곡이나 과전압이 발생하게 됩니다.
이런 이유로 송전시스템 해석에서 특성임피던스는 중요합니다.
◆ 시험 및 진단
송전선 점검 시 임피던스 특성을 이용해 고장 위치를 찾는 반사파(Time-Domain Reflectometry, TDR) 분석에 사용됩니다.
이상괴 같이 고압전력선에 특성임피던스는 장거라 전송특성 분석, 서지보호, 임피던스매칭, SIL(서지임피던스부하) 분석에 사용됩니다.
단순한 전압, 전류 계산용이 아니라, 파동적 거동(과도현상, 반사, 안정도) 해석에 반드시 필요한 중요한 값입니다.
2. 전파정수란?
송전선에서의 전파정수(Propagation Constants)는 특성임피던스와 함께 송전선로 해석의 핵심 파라미터입니다.
전파정수의 식은 아래와 같습니다.

전파정수 감마는 파동이 송전선에 진행하면서 얼마나 감쇠되는지 얼마나 빠르게 위상이 변하는지를 동시에 나타냅니다.
송전선에서 저항 R과 누설콘덕턴스 G를 무시하면

● 감쇠가 전혀 없으므로 (a=0) 에너지는 손실 없이 전달되고 위상정수만 남게 된다.
무한장 송전선토의 각점에서의 특성 impedance Z,는 z.=VZ/Y로 표시되며 이 Z(선로의 직렬 impedance)와
Y (병별 admiltance) 곱의 제곱근 즉, a=VZY 라 하면 이 때는 선로 각점에서의 전압, 전류가 송전단에서 멀어 짐에 따라서 지수 함수적으로 그 크기가 감소되고 위상이 늦어짐을 표시하게 된다.
이는 그 선로의 전파정수 (propagation consants) 또는 쌍곡각 (wertolic anale)이라고 하며 약산 해서 50(Hz) 계통에서는 a= j(1.0~1.2) x10-3, 60(Hz)에서는 이 값의 1.2배 정도가 되며 단위는 없지만 쌍곡각의 개념에서 radian을 사용한다.
이 a를 실측하려면 특성 impedance 측정법과 같이 수전단을 개방시키는 무부하시험과 단락 시키는 단락시험을 통해서 얻을 수 있으며 따라서 선로 한 점에서의 전압, 전류를 쉽게 구할 수 있다.
실제 송전선에서의 용도로는
전압, 전류분포 계산, 전력손실 및 감쇠해석, 서지 및 과도현상 해석, 파속계산, 안정도 해석이 가능하다.
요약하면 감쇠정수는 파동이 지나갈수록 얼마나 줄어드는지, 위상정수는 파동이 얼마나 빨리 위상이 바뀌는지를 알 수 있습니다.
즉 전파정수는 송전선에서 파동의 모양과 세기를 결정하는 핵심 파라미터입니다.
'전기이론' 카테고리의 다른 글
| 섬락전압의 형태 (0) | 2025.10.04 |
|---|---|
| 송전선의 코로나 장애 (2) | 2025.09.23 |
| 전력용 애자의 정전용량과 섬락전압 (4) | 2025.07.31 |
| 송전선의 진동과 도약 (1) | 2025.07.30 |
| 부하율, 수용률, 부등률이란? (3) | 2025.07.28 |